淮南市潘集区架河镇人民政府2018年部门决算
2019年9月
目 录
第一部分 淮南市潘集区架河镇人民政府概况
一、部门职责
二、机构设置
第二部分 淮南市潘集区架河镇人民政府2018年部门决算表
一、收入支出决算总表
二、收入决算表
三、支出决算表
四、财政拨款收入支出决算总表
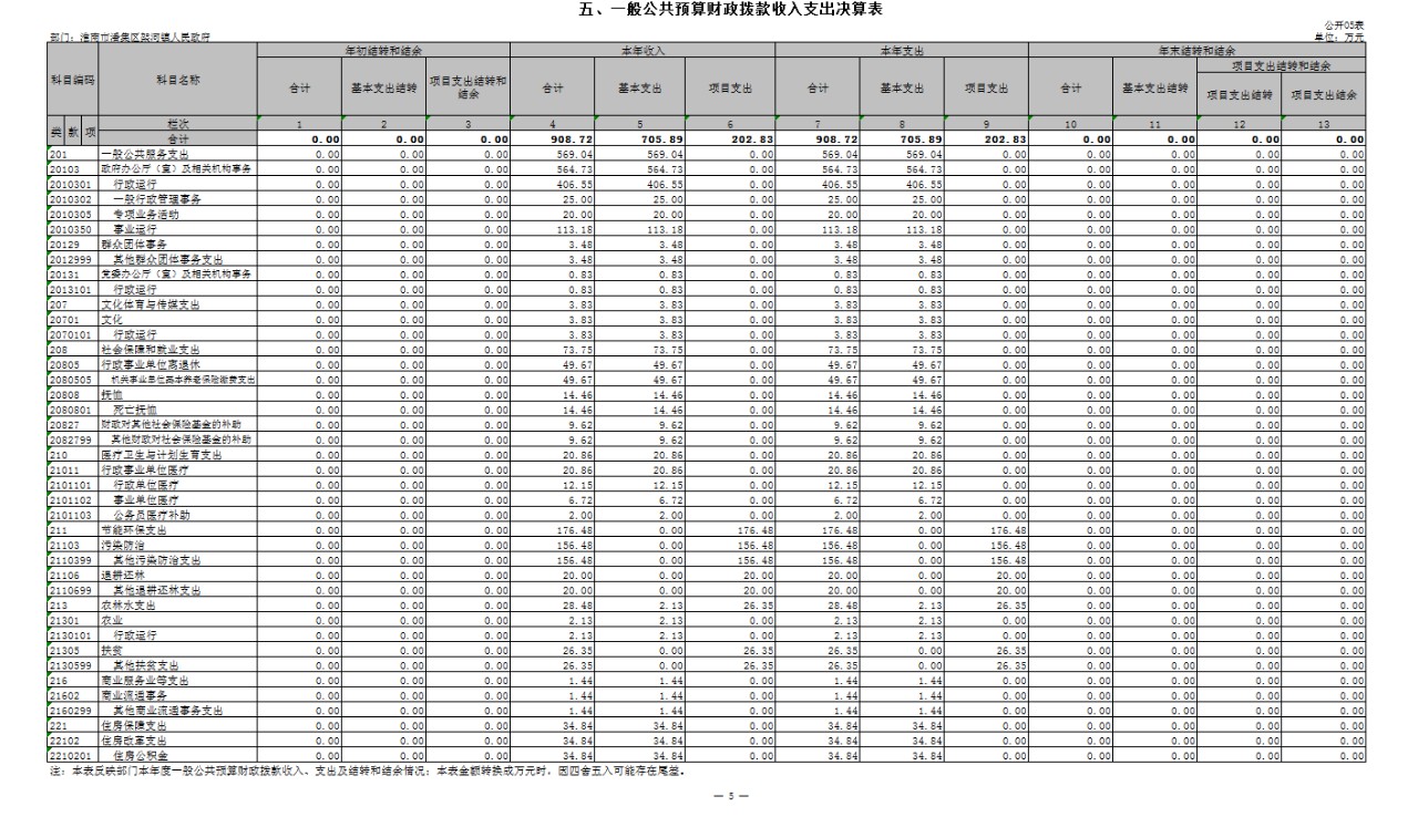
五、一般公共预算财政拨款收入支出决算表
六、一般公共预算财政拨款基本支出决算表
七、政府性基金预算财政拨款收入支出决算表
第三部分 淮南市潘集架河镇人民政府2018年度部门决算情况说明
一、收入支出决算总体情况说明
二、收入决算情况说明
三、支出决算情况说明
四、财政拨款收入支出决算总体情况说明
五、一般公共预算财政拨款收入支出决算情况说明
六、一般公共预算财政拨款基本支出决算情况说明
七、政府性基金财政拨款收入支出决算情况说明
八、其他重要事项的情况说明
第四部分 名词解释
淮南市潘集区架河镇人民政府2018年部门决算情况
第一部分 淮南市潘集区架河镇人民政府概况
一、部门职责
1、 执行国家行政机关的决定、命令和国家制定的法令、法规,执行本级人民代表大会的各项决议,并报告执行决议、决定和命令的情况。
2、 制定并落实本行政区域的经济计划和措施,全面提高人民群众的生活水平和生活质量。
3、 承担国有资产、集体资产管理、监督及增值保值责任。
4、 开展社会主义民主和法制的宣传教育,保障公民的权利,打击违法犯罪,维护社会稳定。
5、 制定社会各项事业发展计划,发展教育、卫生、科技、民政、广播电视、文化、体育事业;加强计划生育工作;推进社会保障、社会福利事业和养老保险等工作。
6、 加强镇级财政的监督和管理。
7、 指导村(居)民委员会的组织制度建设和业务建设,促进村(居)民委员会民主自治。
8、 制定和组织实施镇村建设规划,保护和改善生活环境和生态环境。
9、 协助和支持设置在本行政区域内不隶属于镇的国家机关和企事业单位工作,监督其遵守和执行国家的法律、法规和政策。
10、 承办本级党委、人大和上级交办的其它事项。
二、机构设置
我镇设置机构
从决算单位构成看,淮南市潘集区架河镇人民政府2018年度部门决算包括:镇本级决算,与预算比较,增加(减少)0户,与预算保持一致。
纳入淮南市潘集区架河镇人民政府2018年度部门决算编制范围的二级单位共3个,详细情况见下表:
|
序号 |
单位名称 |
|
1 |
淮南市潘集区架河镇人民政府本级 |
|
2 |
淮南市潘集区架河镇农村综合服务中心 |
|
3 |
淮南市潘集区架河镇农经站 |
第二部分 淮南市潘集区架河镇人民政府2018年部门决算表







第三部分 淮南市潘集区架河镇人民政府2018年度部门决算情况说明
一、收入支出决算总体情况说明
2018年度收入总计2082.72万元(含用事业基金弥补收支差额和年初结转结余)、支出总计2082.72万元(含结余分配和年末结转和结余)。与2017年相比,收、支总计各减少248.97万元,下降10.68%,主要原因:一是占地补偿款减少;二是扶贫项目资金减少。
二、收入决算情况说明
2018年度收入合计2082.72万元,其中:财政拨款收入908.72万元,占43.63%;事业收入0万元,占0%;经营收入0万元,占0%;其他收入1174万元,占56.37%。
三、支出决算情况说明
2018年度支出合计2082.72万元,其中:基本支出1879.89万元,占90.26%;项目支出202.83万元,占9.74%;经营支出0万元,占0%。
四、财政拨款收入支出决算总体情况说明
2018年度财政拨款收入总计908.72万元(含年初财政拨款结转和结余),支出总计908.72万元(含年末财政拨款结转和结余)。与2017年相比,财政拨款收、支总计各增加(减少)70.36万元,下降7.19%,主要原因:一是预算未拨扶贫资金;二是预算拨付行政运转经费减少。
五、一般公共预算财政拨款收入支出决算情况说明
(一) 一般公共预算财政拨款收入决算总体情况
2018年度一般公共预算财政拨款收入908.72万元,占本年收入的43.63%。与2017年相比,一般公共预算财政拨款收入减少70.36万元,下降)7.19%。主要原因:一是预算未拨扶贫资金;二是预算拨付行政运转经费减少。
(二)一般公共预算财政拨款支出决算总体情况
2018年度一般公共预算财政拨款支出70.36万元,占本年支出的43.63%。与2017年相比,一般公共预算财政拨款支出减少70.36万元,下7.19%。主要原因:一是预算未拨扶贫资金;二是预算拨付行政运转经费减少。
(三)一般公共预算财政拨款支出决算结构情况
2018年一般公共预算财政拨款支出:908.72万元,主要用于以下方面:一般公共服务(类)支出569.04万元,占62.62%;文化体育与传媒(类)支出3.83万元,占0.42%;社会保障和就业(类)支出73.75万元,占8.12%;农林水(类)支出28.48万元,占3.13%;住房保障(类)支出34.84万元,占3.83%;医疗卫生与计划生育(类)支出20.86万元,占2.30%;节能环保(类)支出176.48万元,占19.42%;商业服务业等(类)支出1.44万元,占0.16%。
(四) 一般公共预算财政拨款支出决算具体情况
2018年度一般公共预算财政拨款支出年初预算为507.02万元,支出决算为908.72万元,完成年初预算的178.88%。决算数大于预算数的主要原因:一是农村环境卫生整治投入的增加;二是秸秆禁烧投入增加。其中:基本支出705.89万元,占77.68%;项目支出202.83万元,占22.32%。具体情况如下:
1.一般公共服务(类)政府办公厅(室)及相关机构事务(款)行政运行(项)。年初预算为273.177万元,支出决算为406.55万元,完成年初预算的148.82%,决算数大于预算数的主要原因是各类突发事件增多,如非洲猪瘟防疫、打击非法采砂、环保督察整改等,从而导致各类支出费用的增加。
- 一般公共服务(类)政府办公厅(室)及相关机构事务(款)一般行政管理事务(项)。年初预算为0万元,支出决算为25万元,决算数大于预算数的主要原因是该项在预算时没有进行该项的预算安排。
3.一般公共服务(类)政府办公厅(室)及相关机构事务(款)专项业务活动(项)年初预算为16万元,支出决算为20万元,完成年初预算的125%,决算数大于预算数的主要原因工会专项活动开展活动次数增多,导致活动经费增大。
4.一般公共服务(类)政府办公厅(室)及相关机构事务(款)事业运行(项)年初预算为0万元,支出决算为113.18万元,决算数大于预算数的主要原因年初预算时将该项未做预算。
5.一般公共服务(类)群众团体事务(款)其他群众团体事务支出(项)年初预算为2.243万元,支出决算为3.48万元,完成年初预算的155.15%.决算数大于预算数的主要原因工会活动开展多出了预算开展的次数.
6.一般公共服务(类)党委办公厅(室)及相关机构事务(款)行政运行(项)年初预算为0.83万元,支出决算为0.83万元,完成年初预算的100%,决算数等于预算数。
7.文化体育与传媒(类)文化(款)行政运行(项)年初预算为4万元,支出决算为3.83万元,完成年初预算的95.75%决算数小于预算数的主因是厉行节俭,压缩不必要的开支。
8.社会保障和就业(类)行政事业单位离退休(款)机关事业单位基本养老保险缴费(项)年初预算为37.8万元,支出决算为49.67万元,完成年初预算的131.40%,决算数大于预算数的主要原因是工资基数调整,导致养老保险缴费增加。
- 社会保障和就业(类)抚恤(款)死亡抚恤(项),年初预算为0万元,支出决算为14.46万元,决算数大于预算数的主要原因是2018年我单位退休职工李文国去世,单位一次性给予抚恤金14.46万元。
- 社会保障和就业(类)财政对其他社会保险基金的补助(款)其他财政对其他社会保险基金的补助(项),年初预算为8万元,支出决算为9.62万元,完成年初预算的120.25%,决算数大于预算数的主要原因是工资基数调整,导致其他财政对其他社会保险基金缴费增加。
- 医疗卫生与计划生育(类)行政事业单位医疗(款)行政单位医疗(项),年初预算为11万元,支出决算为12.15万元,完成年初预算的110.45%,决算数大于预算数的主要原因是单位医疗救助费用增加。
12.医疗卫生与计划生育(类)行政事业单位医疗(款)事业单位医疗(项)年初预算为4.73万元,支出决算为6.72万元,完成年初预算的142.07%,决算数大于预算数的主要原因是扶贫专干的医疗纳入了事业单位医疗,而在年初预算时未将其纳入。
13.医疗卫生与计划生育(类)行政事业单位医疗(款)公务员医疗补助(项)年初预算为0万元,支出决算为2万元,决算数大于预算数的主要原因是有若干公务员生病住院,进行了二次报销。
14.节能环保(类)污染防治(款)其他污染防治(项)年初预算为80万元,支出决算为156.48万元,完成年初预算的195.6%,决算数大于预算数的主要原因是秸秆禁烧工作开展时间长全年禁烧,对村秸秆禁烧工作经费投入加大,导致其他污染防治经费增长过高。
15.节能环保(类)退耕还林(款)其他退耕还林(项)年初预算为22万元,支出决算为20万元,完成年初预算的90.91%,决算数小于预算数的主要原因是森林增长工程中有部分树木死亡,造成部分森林增长地块验收不合格,不予发放森林增长资金,资金支出相应减少。
16.农林水支出(类)农业(款)行政运行(项)年初预算为2.5万元,支出决算为2.13万元,完成年初预算的85.2%,决算数小于预算数的主要原因是压缩不开支。
17.农林水支出(类)扶贫(款)其他扶贫(项)年初预算为18,支出决算为26.35万元,完成年初预算的146.39%,决算数决算数大于预算数的主要原因是我镇加大扶贫力度,对特色种养给予补贴。
18.商品服务业支出(类)商业流通事务(款)其他商业流通事务(项)年初预算为0万元,支出决算为1.44万元,决算数大于预算数的主要原因是年初预算时未作该项预算。
19.住房保障支出(类)住房改革(款)住房公积金(项)年初预算为26.74万元,支出决算为34.84万元,完成年初预算的130.29%,决算数大于预算数的主要原因是工资基数调整,导致公积金缴交增加。
六、一般公共预算财政拨款基本支出决算情况说明
2018年度财政拨款基本支出705.89万元,其中人员经费443.33万元,主要包括:基本工资150万元、津贴补贴73.37万元、奖金54万元、伙食补助费31万元、机关事业单位基本养老保险缴费49.67万元、公务员医疗补助缴费2万元、其他社会保障缴费9.62万元、住房公积金34.84万元、医疗费18.87万元、抚恤金14.46万元、其他对个人和家庭的补助支出5.51万元;公用经费262.56万元,主要包括:办公费32.77万元、印刷费22万元、咨询费10万元、电费15.7万元、邮电费11万元、差旅费7.6万元、维修(护)费42万元、培训费2万元、公务接待费4.98万元、劳务费20万元、工会经费3.48万元、福利费22万元、公务用车运行维护费12.2万元、其他商品和服务支出56.83万元。
七、政府性基金财政拨款收入支出决算情况说明
2018年政府性基金预算财政拨款年初结转和结余0万元,本年收入0万元,本年支出0万元,年末结转和结余0万元。具体情况说明如下:
潘集区架河镇人民政府没有政府性基金收入,也没有使用政府性基金安排的支出。
八、其他重要事项的情况说明
(一)机关运行经费支出情况
2018年度,淮南市潘集区架河镇人民政府机关运行经费支出705.89万元,比2017年减少17.48万元,下降2.42%,主要原因是退休人员经费纳入社保开支,不在从镇财政预算中支出。
(二)政府采购支出情况
2018年度,淮南市潘集区架河镇人民政府采购支出总额0万元,其中:政府采购货物支出0万元,政府采购工程支出0万元、政府采购服务支出0万元。授予中小企业合同金额0万元,占政府采购支出总额的0%,其中:授予小微企业合同金额0万元,占政府采购支出总额的0%。
(三)国有资产占有使用情况
截至2018年12月31日,淮南市潘集区架河镇人民共有车辆2辆,其中:主要领导干部用车0辆、机要通信用车0辆、应急保障用车0辆、执法执勤用车0辆、特种专业技术用车0辆、离退休干部用车0辆、其他用车2辆(只列报车辆不为0的车型);单价50万元以上的通用设备0台(套),单价100万以上专用设备0台(套)。
(四)关于2018年度预算绩效情况说明
淮南市潘集区架河镇人民政府组织未对2018年度纳入部门预算的项目支出开展绩效自评。
第四部分 名词解释
一、财政拨款收入:指单位从同级财政部门取得的财政预算资金。
二、事业收入:指事业单位开展专业业务活动及辅助活动所取得的收入。
三、上级补助收入:指事业单位从主管部门和上级单位取得的非财政补助收入。
四、附属单位上缴收入:指事业单位附属独立核算单位按照有关规定上缴的收入。
五、经营收入:指事业单位在专业业务活动及其辅助活动之外开展非独立核算经营活动取得的收入。
六、其他收入:指事业单位除财政补助收入、事业收入、上级补助收入、附属单位上缴收入、经营收入以外的各项收入,包括投资收益、银行存款利息收入、租金收入、捐赠收入、现金盘盈收入、存货盘盈收入、收回已核销应收及预付款项、无法偿付的应付及预收款项等。
七、用事业基金弥补收支差额:指事业单位在当年的财政拨款收入、事业收入、其他收入不足以安排当年支出的情况下,使用以前年度积累的事业基金(事业单位当年收支相抵后按国家规定提取、用于弥补以后年度收支差额的基金)弥补本年度收支缺口的资金。
八、年初结转和结余:指单位以前年度尚未完成、结转到本年按有关规定继续使用的资金。
九、结余分配:指事业单位按照会计制度规定缴纳的所得税以及从非财政补助结余中提取的职工福利基金、事业基金。
十、年末结转和结余:指单位按有关规定结转到下年或以后年度继续使用的资金。
十一、基本支出:指单位为保障其机构正常运转、完成日常工作任务而发生的人员支出和公用支出。
十二、项目支出:指单位为完成特定行政任务和事业发展目标在基本支出之外所发生的支出。
十三、经营支出:指事业单位在专业业务活动及其辅助活动之外开展非独立核算经营活动发生的支出。
十四、“三公”经费:纳入财政预决算管理的“三公”经费,是指单位用财政拨款安排的因公出国(境)费、公务用车购置及运行费和公务接待费,是党政机关维持运转或完成特定工作任务所开支的相关支出,是政府行政开支的一部分。其中,因公出国(境)费反映单位公务出国(境)的国际旅费、国外城市间交通费、住宿费、伙食费、培训费、公杂费等支出;公务用车购置及运行费反映单位公务用车购置支出(含车辆购置税)及燃料费、维修费、过桥过路费、保险费、安全奖励费用等支出;公务接待费反映单位按规定开支的各类公务接待(含外宾接待)支出。
十五、机关运行经费:指为保障行政单位(含参照公务员法管理的事业单位)运行用于购买货物和服务的各项资金,包括办公及印刷费、邮电费、差旅费、会议费、福利费、日常维修费、专用材料费及一般设备购置费、办公用房水电费、办公用房取暖费、办公用房物业管理费、公务用车运行维护费以及其他费用。
皖公网安备 34040602000001号